
-
论文标题:How to Correctly Report LLM-as-a-Judge Evaluations -
论文链接:https://arxiv.org/pdf/2511.21140
TL;DR
在大语言模型(LLM)评估领域,使用 LLM 作为评判者(LLM-as-a-Judge)已成为一种通过替代人工评估来降低成本的可扩展方案。然而,由于 LLM 评判者本身存在噪声(即其灵敏度和特异度不完美),直接使用其输出的原始准确率(raw accuracy)会导致对模型真实能力的估计产生偏差。
今天介绍一篇来自延世大学、威斯康星大学麦迪逊分校及 KRAFTON 的研究工作《How to Correctly Report LLM-as-a-Judge Evaluations》。该研究针对 LLM-as-a-Judge 的评估偏差问题,提出了一套完整的统计学修正框架。主要贡献包括:
-
偏差修正(Bias Correction):推导了一个基于“即插即用”的估计量,利用校准数据集(Calibration Dataset)中的混淆矩阵信息,修正了原始评估中的系统性偏差。 -
置信区间构建(Confidence Intervals):构建了包含测试集不确定性和校准集不确定性的置信区间,解决了以往研究仅关注点估计而忽略评估可靠性的问题。 -
自适应采样分配(Adaptive Allocation):提出了一种自适应算法,用于在给定校准预算下,最优分配正负样本的比例,以最小化置信区间的长度。
1. 引言
随着大语言模型(LLM)能力的提升,我们越来越多地依赖 LLM 来评估其他模型在各种任务上的表现,例如事实核查、代码生成质量评估以及有害内容检测。这种被称为 "LLM-as-a-Judge" 的范式提供了一种廉价且可扩展的评估手段,能够在缺乏大规模人工标注的情况下快速迭代模型。
通常,研究人员会报告 LLM 评判者认为“正确”的样本比例,记为 ,并将其作为被评估模型质量的代理指标。然而,这种做法存在一个根本性的统计学缺陷。
如下图所示,LLM 在评判过程中会犯两类错误:
-
将错误的答案误判为正确(假阳性)。 -
将正确的答案误判为错误(假阴性)。

由于这种内在噪声的存在,直接观测到的判断比例 往往不是真实准确率 的无偏估计。现有的文献通常忽略了这一偏差,或者虽然意识到偏差存在但缺乏修正的统一标准。更关键的是,目前的评估报告往往只给出一个点估计值,而缺乏置信区间(Confidence Interval),这使得我们难以判断评估结果的统计显著性。
本文旨在解决上述问题,提供一套在 LLM-as-a-Judge 设置下正确报告评估结果的方法论。
2. 偏差的来源
为了深入理解偏差的成因,我们需要对评估过程进行严格的数学形式化。
考虑所有可能的测试实例集合 。对于每一个实例 (例如一个“问题-模型回答”对),假设存在一个人类定义的真实正确性标签。我们定义一个真实标签函数 ,其中:
-
表示人类判定该回答是“正确”的。 -
表示人类判定该回答是“错误”的。
当我们将此函数应用于随机抽取的测试变量 时,我们得到一个二元随机变量 。我们的最终目标是估计被评估模型相对于人类标准的真实准确率 :
在实际操作中,我们使用一个 LLM 评判者 来替代人类。令 表示 LLM 的评判结果。在一个包含 个实例的测试集 上,LLM 产生的标签为 。研究人员通常报告的“朴素准确率”(Naive Accuracy) 定义为:
这个 实际上是在估计总体概率 ,即 LLM 将一个随机实例判定为正确的概率。
2.1 灵敏度与特异度
问题在于,LLM 的判定 与真实标签 并不总是通过恒等映射关联。我们需要引入两个参数来描述 LLM 评判者的性能:
-
灵敏度(Sensitivity, ):当真实标签为“正确”时,LLM 判定为“正确”的概率(即真阳性率)。
-
特异度(Specificity, ):当真实标签为“错误”时,LLM 判定为“错误”的概率(即真阴性率)。
2.2 偏差的定量分析
利用全概率公式,我们可以推导出观测概率 与真实准确率 之间的关系:
整理上述公式,我们得到期望观测值的表达式:
或者写作更能体现偏差的形式:
这个公式揭示了几个关键结论:
-
仅当 LLM 评判者完美()时,,此时没有偏差。 -
只要评判者不完美(), 就是有偏的。 -
偏差的方向取决于 的值: -
当真实准确率较低()时,LLM 倾向于高估模型性能(正偏差)。 -
当真实准确率较高()时,LLM 倾向于低估模型性能(负偏差)。
-

这种偏差的存在意味着,如果不进行修正,不同模型之间的比较可能是无效的。例如,一个实际性能提升的模型,可能因为处于偏差曲线的特定位置,导致被 LLM 评判为性能下降。
3. 偏差修正方法
既然我们已经量化了偏差的来源,接下来的任务就是构建一个无偏估计量。这一方法基于流行病学中经典的患病率估计(Prevalence Estimation)理论(Rogan and Gladen, 1978)。
3.1 点估计量的修正
假设我们已知 LLM 评判者的灵敏度 和特异度 ,且满足 (即 LLM 的表现优于随机猜测)。我们可以通过反解前文的线性方程来得到 的表达式:
在现实场景中,我们不知道真实的 。因此,我们需要使用估计值:
-
从测试集估计 :使用朴素准确率 。 -
从校准集估计 :构建一个包含人工标注标签的小型“校准数据集”(Calibration Dataset)。
假设校准集中有 个真实标签为“错误”()的样本,和 个真实标签为“正确”()的样本。我们统计 LLM 在这些样本上的预测结果,得到:
将这些经验估计值代入 的公式,我们得到偏差修正估计量(Bias-Adjusted Estimator) :
理论保证:论文中的 Proposition 1 证明,只要校准集样本量 足够大(具体取决于 LLM 的噪声水平),修正后的估计量 的绝对偏差总是小于朴素估计量 的偏差。当 LLM 越接近随机猜测,所需的校准样本量就越大;反之,若 LLM 较为准确,少量的校准样本即可有效去除偏差。
4. 不确定性量化:构建置信区间
仅给出一个修正后的点估计值 是不够的。科学的报告必须包含不确定性范围。在 LLM-as-a-Judge 的场景下,不确定性来源于两个独立的部分:
-
测试集随机性:用于估计 的样本量 有限。 -
校准集随机性:用于估计 和 的样本量 有限。
以往的许多讨论往往忽略了第二点,导致置信区间过窄,从而产生盲目的自信。本文利用 Delta 方法(Delta Method)推导了 的渐近方差,并据此构建了有效的置信区间。
4.1 渐近方差的推导
根据 Delta 方法, 的方差可以通过对 的一阶泰勒展开近似得到。由于测试集和校准集是独立的,协方差项为零。 对各变量的偏导数分别为:
其中 。
结合二项分布的方差公式 等,我们可以得到 的渐近方差表达式:
这个公式清晰地展示了各项因素对总方差的贡献:
-
分子第一项来自测试集的不确定性。当测试集 时,此项消失。 -
分子后两项来自校准集的不确定性。这说明即使测试集无限大,如果不增加校准集大小,估计的不确定性依然存在。
4.2 改进的 Wald 置信区间
为了在小样本下获得更好的覆盖率(Coverage Probability),论文采用了 Agresti-Coull 的“加二成功、加二失败”(Add-two-successes and two-failures)调整方法。具体来说,在计算置信区间时,我们将各估计值替换为平滑后的版本:
最终的 置信区间为:
其中 是使用平滑参数计算出的修正准确率, 是标准正态分布的分位数(如 95% 置信度对应 1.96)。

5. 自适应校准样本分配算法
在实际应用中,人工标注校准数据是昂贵的。给定固定的校准预算 ,如何分配 (真实为负的样本)和 (真实为正的样本)的比例,使得最终的置信区间长度最短?
直觉上,如果 LLM 在某一类样本上的判断方差较大(即准确率接近 0.5),或者该类样本对最终 的计算权重较大,我们就应该在该类上分配更多的标注预算。
5.1 最优分配比例
论文中的 Proposition 2 给出了理论上的最优分配指导。假设 接近 1,定义误差率之比 。使得置信区间长度最小的分配满足:
这意味着:
-
如果 LLM 在识别“错误”答案时更困难(误差率 大,即 大),则应增加 。 -
如果测试集中观测到的正例比例 较小,这会放大 的影响,因此也应增加 。
5.2 自适应分配算法(Algorithm 1)
基于上述理论,论文提出了一种两阶段的自适应算法:
-
试点校准(Pilot Calibration):首先收集少量的校准样本(例如每类 10 个),获得 和 的初步估计。 -
计算比例:利用测试集的 和初步估计的 ,计算最优样本量 。 -
最终分配:根据计算出的比例,分配剩余的校准预算。
这一算法确保了数据标注资源被用在“刀刃”上,即最能降低估计不确定性的地方。
6. 实验验证
为了验证所提出方法的有效性,研究团队进行了大规模的蒙特卡洛模拟。实验设置如下:
-
LLM 参数:设定 (代表一个有一定能力但不完美的评判者)。 -
真实准确率: 从 0 到 1 变化。 -
数据量:测试集 ,校准集总量 。
6.1 偏差修正效果
实验结果表明,朴素估计量 确实存在显著偏差。当真实准确率 较低时, 严重高估了模型性能;反之则低估。相比之下,修正后的估计量 在所有 取值下都紧密地围绕真实值波动,证明了修正方法的有效性。

6.2 置信区间覆盖率
对于一个标称 95% 的置信区间,理想情况下,它应该在 95% 的实验中包含真实值 。实验显示,基于 构建的置信区间在所有 范围内都保持了接近 95% 的覆盖率。相反,基于朴素估计 的置信区间覆盖率极差,在许多情况下接近 0,这意味着它几乎总是给出一个错误的范围。

6.3 自适应分配的优势
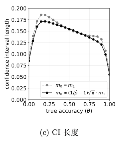
对比“平均分配校准样本”()和“自适应分配”,结果显示自适应分配始终能产生更短的置信区间。特别是在 远离 0.5 或 差异较大时,自适应分配带来的精度收益更为明显。

7. 代码实现详解
为了方便社区使用,论文在附录中提供了 Python 实现代码。以下是对核心函数的详细解读:
from math import sqrt
from scipy.stats import norm
def clip(x, low=0.0, high=1.0):
"""
辅助函数:将数值截断在 [low, high] 范围内。
用于确保概率值始终在 0 到 1 之间。
"""
return max(low, min(high, x))
def point_estimator(p, q0, q1):
"""
计算偏差修正后的点估计值 (Point Estimate)。
对应论文中的公式 (4)。
参数:
p : 朴素准确率 (Naive Accuracy, 对应论文中的 p_hat)
q0 : LLM 的特异度/真阴性率 (Specificity, 对应论文中的 q0_hat)
q1 : LLM 的灵敏度/真阳性率 (Sensitivity, 对应论文中的 q1_hat)
"""
# 核心公式:利用 Rogan-Gladen 估计量反解真实准确率
# 原理:E[p] = theta * q1 + (1-theta) * (1-q0),反解出 theta
th = (p + q0 - 1) / (q0 + q1 - 1)
return clip(th)
def confidence_interval(p, q0, q1, n, m0, m1, alpha=0.05):
"""
计算修正后的 (1 - alpha) 置信区间。
同时考虑了测试集 (n) 和校准集 (m0, m1) 的不确定性。
对应论文中的公式 (5), (6), (7)。
参数:
n : 测试集样本量 (Test set size)
m0 : 校准集中真实标签为负(错误)的样本量 (Calibration size for z=0)
m1 : 校准集中真实标签为正(正确)的样本量 (Calibration size for z=1)
alpha : 显著性水平 (默认 0.05,即 95% 置信区间)
"""
# 1. 获取标准正态分布的分位数 z (例如 95% 置信度对应 1.96)
z = norm.ppf(1 - alpha / 2)
# 2. 平滑处理 (Smoothing) - 对应论文公式 (6)
# 目的:使用 Agresti-Coull 或 Wilson 方法调整样本计数,
# 防止因样本量过小或概率为 0/1 导致方差计算失效。
# 注意:这里对 p 使用了 Wilson 类型的中心调整,对 q 使用了加1/加2 平滑
p = (n * p + z2 / 2) / (n + z2)
q0 = (m0 * q0 + 1) / (m0 + 2)
q1 = (m1 * q1 + 1) / (m1 + 2)
# 3. 更新有效样本量 (Effective Sample Sizes)
n = n + z2
m0 = m0 + 2
m1 = m1 + 2
# 4. 计算平滑后的中心估计量 (Smoothed Point Estimate)
# 使用平滑后的 p, q0, q1 计算 theta_tilde
th = (p + q0 - 1) / (q0 + q1 - 1)
# 5. 计算中心偏移项 (Bias Shift Term) - 对应论文公式 (7) 中的 d_theta
# 由于分母 (q0+q1-1) 也是随机变量,这会引入微小的二阶偏差,此处进行修正
dth = 2 * z2 * (-(1 - th) * q0 * (1 - q0) / m0 + th * q1 * (1 - q1) / m1)
# 6. 计算标准误 (Standard Error) - 基于 Delta Method 推导的渐近方差
# 对应论文公式 (5) 的分母和根号部分
# 第一项 p*(1-p)/n : 来自测试集的不确定性
# 第二项 .../m0 : 来自校准集(特异度估计)的不确定性
# 第三项 .../m1 : 来自校准集(灵敏度估计)的不确定性
variance_term = (p * (1 - p) / n +
(1 - th)2 * q0 * (1 - q0) / m0 +
th2 * q1 * (1 - q1) / m1)
se = sqrt(variance_term) / (q0 + q1 - 1)
# 7. 构建 Wald 置信区间并截断
lower_bound = th + dth - z * se
upper_bound = th + dth + z * se
return clip(lower_bound), clip(upper_bound)
这段代码简洁明了,我们可以轻松将其集成到现有的评估流水线中。只需额外维护一个小规模的校准集,即可大幅提升评估报告的科学性。
8. 结论与建议
LLM-as-a-Judge 的广泛应用带来便利的同时,也引入了不可忽视的统计偏差。如果我们继续仅报告朴素的准确率,可能会导致领域内出现错误的结论累积,甚至误导模型优化的方向。
一些建议:
-
停止使用朴素准确率:意识到直接使用 LLM 判断结果作为度量的局限性。 -
建立校准集:为评估任务构建一个小型的、高质量的人工标注数据集(例如 100-500 条)。 -
报告修正后的指标:使用本文提供的公式或代码计算 ,并总是附带置信区间。 -
关注校准集分配:如果不确定如何分配标注资源,优先标注那些 LLM 容易出错的类别,或者使用本文的自适应算法。
往期文章:
